Pump Operations Optimisation (2018)
Figure 1 - Pump station with two identical pumps
Energy is typically the second highest operational cost behind labour for a water utility. It is a cost that is growing as tariffs increase but one that is controllable, given the right access to assets (pumps and valves), storage tanks and an energy tariff that rewards electrical load management in both time and peak demand. The typical path taken by a water utility to manage electrical consumption is to undertake energy audits, negotiate tariffs, identify where power is used and then target the highest energy sites. In almost all water utilities, pumping (raw and treated) water consumes 90% to 95% of the energy procured and so is the obvious target. The second step for a utility is to then measure pump energy efficiency and possibly repair or replace pumps or retrofit variable speed motors to existing pumps, to improve wire-to-water efficiency. It may be surprising to know that improving wire-to-water energy efficiency alone can actually be counter-productive and increase costs.
Volumetric energy consumption
There has already been some work carried out internationally to understand what should be measured and which KPIs are important. Electricity is typically priced for both energy (kWh) and peak power (kW or kVA), with the former usually dominating the bill. A more useful measure of pump performance is the amount of energy per volume of water delivered, called the specific energy (volumetric energy consumption) often expressed in kWh/m3.

Formula 1 & 2
Formula 1 & 2
Where Q is the flow rate, 9.81 is the specific weight of 1 litre of water, H is the total dynamic head, ηmotor is motor efficiency, ηtrans is the drive efficiency and ηpump is the pump efficiency.
A group of Australian water utilities focused on specific energy in pump efficiency benchmarking and saw dramatic benefits in terms of energy procured and cost (Livingston, et al., 2015). The specific energy for a pump lifting 200m is considerably higher than one lifting only 50m, so they also introduced the idea of the Pump Efficiency Index (PEI), which normalises specific energy by dividing it by the TDH across the pump. This allowed them to compare pumps with different lift requirements. One item they identified however, was that even after normalisation, sometimes the results generated were counter intuitive.
A US-based example makes this clearer. In Figure 1 above, real data from a pump station with two identical pumps is shown. The left-hand head/flow curve is for one of the pumps running on its own, and the right-hand curve is the effective amalgamated pump curve for the two pumps running in parallel (affinity laws means this is easy to produce as it is just sum of the individual flow curves for any value of head).
Telemetry points are shown as ‘x’s on the curves and the efficiency curves are also shown. Looking at this figure, we see that one pump is running with an efficiency between 60% and 77%, while two pumps together are running between 80% and 88%; therefore 2 pumps appears to be the better choice. The operators clearly prefer two pumps as one can see substantially more operating ‘x’s on the two-pump curve.

Global map-integrated view of the water production and distribution system with hydraulic data in real-time, key performance indicators and alerts
Global map-integrated view of the water production and distribution system with hydraulic data in real-time, key performance indicators and alerts
If we consider the specific energy for these operating points, a different story emerges. The single pump operating on its own lifts water 60’ at a rate of 6.2MGD at about 70% efficiency. The two-pump combination lifts water 90’ at a rate of 10.5MGD at about 85% efficiency. The specific energy for 1 pump is (in metric) 59kWh/ML, whereas two pumps use 88kWh/ML, some 50% more energy per volume delivered than 1 pump. A utility pays for kWh and delivers water measured by volume, so clearly as long as one pump is sufficient to deliver the day’s demand, and is not cavitating, then running 1 pump is going to be cheaper than running two pumps.
There is of course consideration of tariff, and if the night tariff was less than two thirds of the day tariff it would be cheaper in cost to run 2 pumps at night, even given 50% more kWh purchased per ML to do this.
This counter intuitive example indicates just how complex trying to manage energy cost can become. The culprit is the increased back pressure from the network system curve, a result of velocity head loss in the pipes. The pump station has to overcome 50% more head when it tries to deliver only about 80% more water. Specific energy calculations help a lot, but even this is not sufficient to really understand the true picture of energy consumption.
The Pump Performance Index (PPI)
SUEZ and Stantec recently worked together on a research project for the Water Research Foundation on project #4621 which promoted a new measure of pump performance, the Pump Performance Index (PPI). This is the normalised specific energy but using two values for H, the lift of the pump. The first approach is to use the total dynamic head across the pump, called PPITDH.

Formula 3
Formula 3
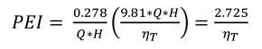
The PPI is just the specific energy normalised for the lift that the pump generates, which is the value H in formula 2. It is identical to the PEI calculation from the Australian study.
Without this calculation it is impossible to compare pumps between pump stations with different head requirements. A quick calculation shows that a ‘perfect pump’ running at 100% efficiency would use 2.725kWh/ML/m and so PPI is dimensionless and can be equated to actual pump efficiency as per equation 4.

Equation 4
Equation 4
However, looking at the total dynamic head across a pump only looks within the pump station walls. In Figure 1, using this calculation would miss some of the causes of the problem; that increased discharge pressure is seen due to higher velocity in network pipes and hence higher back pressure and is not ‘useful work done’. It is instead additional work introduced in order to get the job done faster.
In fact, any pump operating to the left of its best efficiency point could be shown to be improved in terms of both efficiency and PPITDH merely by throttling the discharge, and forcing the pump to operate to the left and higher on its curve and therefore closer to BEP. It shows improved efficiency, but actually costs more to run.
A new measure of ‘H’ is required that uses the actual useful lift done by the pump, which is largely the static lift from the pump station source tank to the destination tank.

Figure 2: Measuring the useful work done by a pump
Figure 2: Measuring the useful work done by a pump
This is illustrated in Figure 2 (above) where the static lift on the pump discharge side is identified. The suction side static pressure is the difference in height between the suction tank top1 water level and the pump centerline. Together, these two values indicate the useful lift achieved. This is called PPIStatic and is a more accurate comparative measure for a pump.

Formula 5
Formula 5
1 The top, average or bottom water level could also be used, consistency is however essential to allow comparative figures. Top level was used as this had more case examples from participating utilities.
Global case studies
Table 3 list achieved energy costs and kWh savings results for users of SUEZ’s energy optimisation tool ‘Aquadvanced Energy’. This optimiser is able to consistently improve energy efficiency, in this case reducing specific energy requirements, by between 6% and 8%. This is done without any hardware or pump changes and is purely as a result of calculating the specific energy in real time.

Table 3: Cost and specific energy savings for Aquadvanced Energy clients
Table 3: Cost and specific energy savings for Aquadvanced Energy clients
The system curve, i.e. the curve of back pressure in the network for any flow pushed into the network is changing dynamically all the time. Most flow into a mixed-residential water network is modelled by hydraulic modellers as an ‘emitter’ demand, i.e. a demand that varies with pressure. Think of having a shower for 10 minutes at 7:00AM versus one at 11:00PM. The duration is the same but the volume of water used would be quite different as the higher pressure at night ensures more water flows through the shower head, something that many readers will have experienced.
The open taps in a network during the day add up to produce a flat and low system curve; i.e. back pressure does not increase quickly as flow increases. At non-peak water demand hours with most taps closed, even small flow increases can cause a big increase in pressure in the network. Only a real-time optimiser like Aquadvanced Energy can calculate this and make the correct decisions to minimise specific energy and hence, cost.

The Aquadvanced Energy system helps support a system operator with complex decision-making
The Aquadvanced Energy system helps support a system operator with complex decision-making
What does this mean for a water utility?
In the case of WaterOne and Washington Suburban, more than US$1m per year in saved energy costs. Targeting specific energy is always a better approach than chasing highest efficiency at a pump station.
The WRF project resulted in a web-based tool for pump performance comparison across a wide range of flows and pressure.
Conclusion
SUEZ Smart Solutions use and supply an energy optimisation tool for water distribution systems called Aquadvanced Energy. This tool is used by major utilities around the world, and in the UK by Northumbrian Water & Essex and Suffolk Water. It is being rolled out to Bristol Water, Welsh Water as well as several other major UK utilities who remain confidential at this stage.
At its heart, this real-time optimiser uses specific energy which is multiplied by time-of-use energy tariff as its primary metric to reduce energy cost. It inherently understands the trade-offs possible between efficiency and tariff, it includes complex interactions between multiple pumps, and natively handles maximum demand (kW) charges, to always maintain lowest cost operations. As table 3 shows, the savings can be very significant.
This paper was prepared by Simon Bunn, Chief Technical Officer, SUEZ Smart Solutions (NZ) – www.suezwater.co.uk
Warning: Undefined variable $sc_post_id in /var/www/wp-wpodev/wp-content/themes/wpo-2023/single-innovation.php on line 191
